10++ Soal Dan Kunci Jawaban Smk Perikanan

Best Kunci Jawaban website. Search anything about Kunci Jawaban in this website.

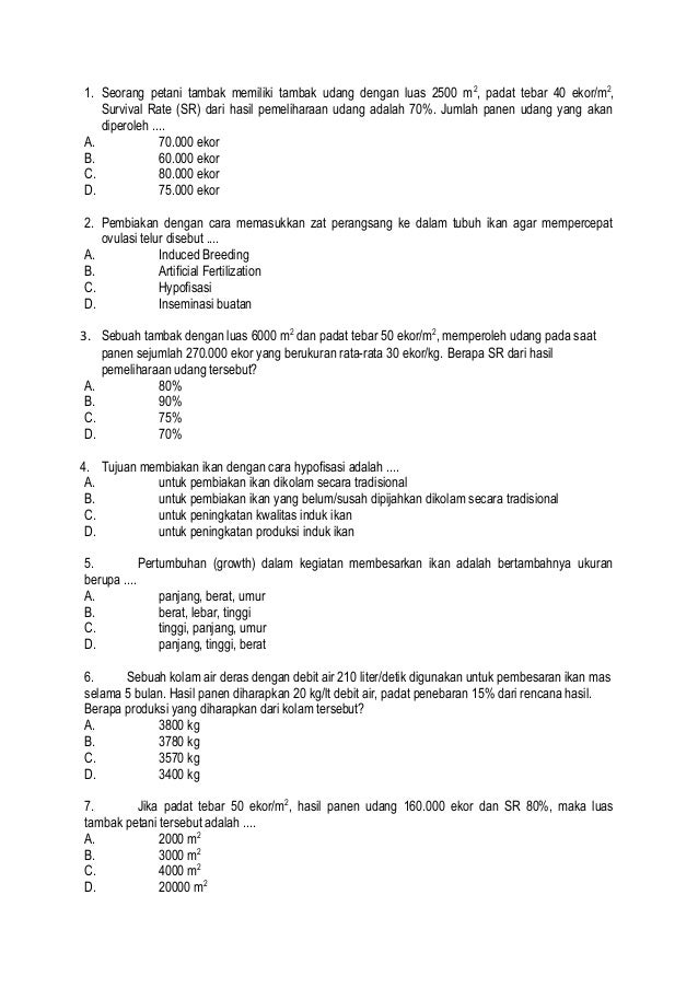
Soal Dan Kunci Jawaban Smk Perikanan. Tentu ini hanya sebatas soal. One of them.

Soal Dan Kunci Jawaban Smk Perikanan Guru Galeri
Soal Dan Kunci Jawaban Smk Perikanan Guru Galeri from www.gurugaleri.com

Simak kunci jawaban dan soal latihan untuk belajar dari rumah ulangan harian Ujian Tengah Semester UTS atau Penilaian Tengah Semester PTS bagi Kelas 11 SMA Mata pelajaran Pendidikan Jasmani Olahraga dan. To provide data of SMK graduated for readers. Soal USBN PAI SMA dan Kunci Jawaban Doc PDF Bagi sahabat bospedia dimana saja berada yang ingin sekali mempelajari Soal USBN PAI Untuk SMKSTM Terbaru 2020 ini adik adik bisa menguduh materi ini di bospedia dalam bentuk file doc.

2332021 Sejumlah siswi Sekolah Menengah Kejuruan Negeri SMKN 1 Pangkalpinang beberapa waktu laluKunci Jawaban Latihan Soal Ujian PKn SMK 2021 dan Soal USBN PKn SMK Tahun 2021 Editor.

1632021 TRIBUNNEWSMAKERCOM - Berikut ini soal dan kunci jawaban latihan UTS dan PTS kelas 11 SMAMA pelajaran PJOK bagian pilihan ganda dan essay. 1 the coyote so much cunning he became very ambitious and. Kunci jawaban PAI ada gk. Kerjasama yang baik antara penyusun soal percetakan dan penjual kunci jawaban 25.